HOME (Nieuwe
zoek
opdracht)
◄ ZOEKPAGINA
Alle BLAUWE tekst is aanklikbaar
klik hier voor PERMALINK in browserbalk
©
naar resultaten
van zoekopdracht
▼ KLIK voor alles over het trefwoord: trefwoord:
Utrecht - (Prins) Hendriklaan 105 e.o. - Kromhoutkazerne
Kaart 5
losse informatie
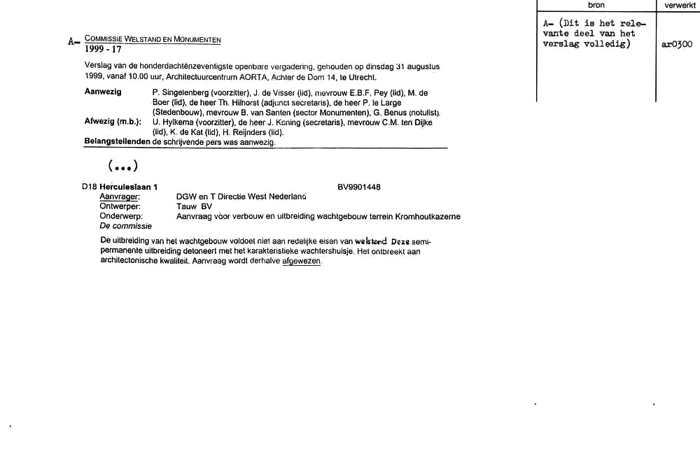
Utrecht - (Prins) Hendriklaan 105 e.o. - Kromhoutkazerne
1999.0831).