HOME (Nieuwe
zoek
opdracht)
◄ ZOEKPAGINA
Alle BLAUWE tekst is aanklikbaar
klik hier voor PERMALINK in browserbalk
©
naar resultaten
van zoekopdracht
▼ KLIK voor alles over het trefwoord: trefwoord:
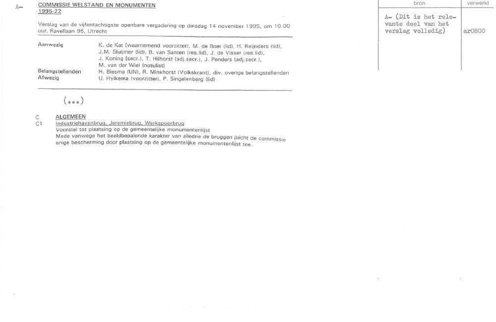
Utrecht - Westerkade - Jeremiebrug (verwijderd 2011)
Kaart 5
losse informatie
Utrecht - Westerkade - Jeremiebrug (verwijderd 2011)
1995.1114