HOME (Nieuwe
zoek
opdracht)
◄ ZOEKPAGINA
Alle BLAUWE tekst is aanklikbaar
klik hier voor PERMALINK in browserbalk
©
naar resultaten
van zoekopdracht
Luinjeberd - klooster Steenkerk
▼ KLIK voor alles over het trefwoord: trefwoord:
Redengevende omschrijving - vanwege-bescherming
Kaart 5
losse informatie
Redengevende omschrijving - vanwege-bescherming
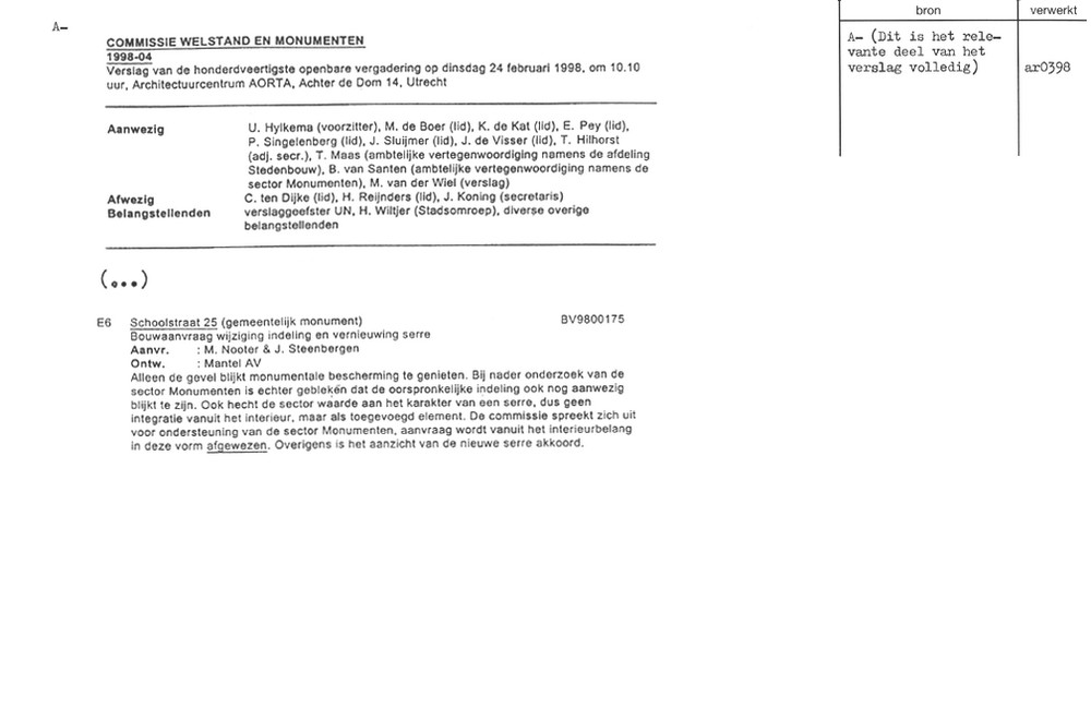
1998.0224