HOME (Nieuwe
zoek
opdracht)
◄ ZOEKPAGINA
Alle BLAUWE tekst is aanklikbaar
klik hier voor PERMALINK in browserbalk
©
naar resultaten
van zoekopdracht
Hollogne-sur-Geer
▼ KLIK voor alles over het trefwoord: trefwoord:
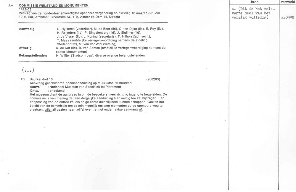
Utrecht - Buurkerkhof 10
Kaart 5b
losse informatie
gebruik
Utrecht - Buurkerkhof 10
1998.0310