HOME (Nieuwe
zoek
opdracht)
◄ ZOEKPAGINA
Alle BLAUWE tekst is aanklikbaar
klik hier voor PERMALINK in browserbalk
©
naar resultaten
van zoekopdracht
▼ KLIK voor alles over het trefwoord: trefwoord:
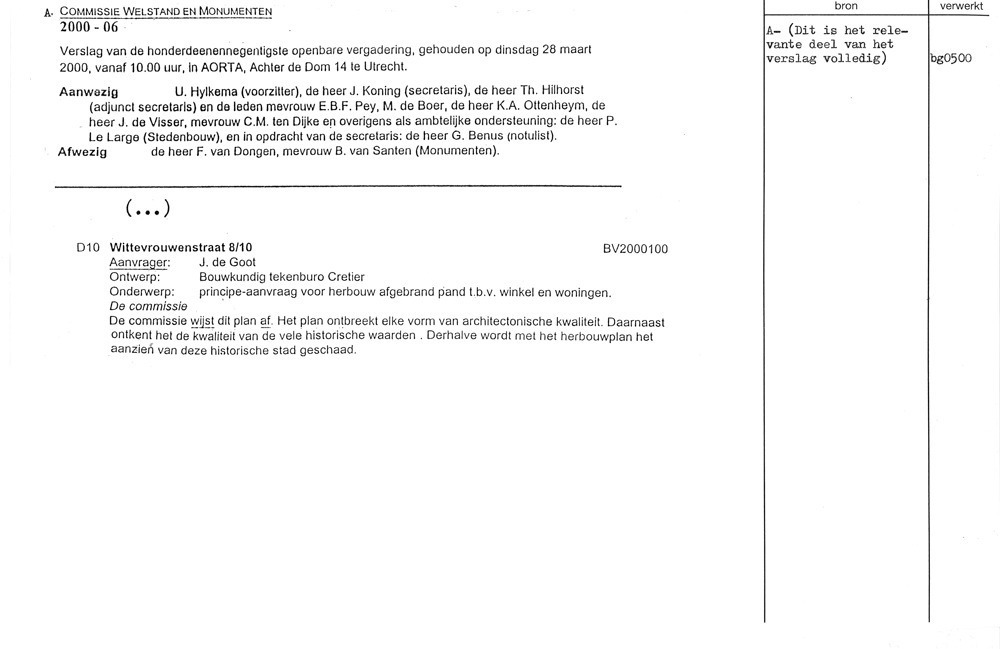
Utrecht - Wittevrouwenstraat 8 - nieuwbouw 2006
Kaart 5a
losse informatie
pand
Utrecht - Wittevrouwenstraat 8 - nieuwbouw 2006
2000.0328